空间O型圈密封泄漏率实验研究
2015-11-12 10:00阅读:
通过对硅橡胶材料
O型圈在模拟空间环境下的泄漏率实验,研究了空间密封中O型圈的压缩率、温度、O型圈的载荷衰减和原子氧辐射对其泄漏率的影响。实验结果发现,O型圈的泄漏率随O型圈压缩率的增大而减小,在一5一100℃的温度范围内,随温度的升高而增大,而O型圈的载荷衰减和原子氧辐射都对O
型圈的泄漏率有不同程度的影响。
关健词:O型圈一密封一泄漏率
1、引言
O 型圈因结构简单、密封可靠在各种密封中被广泛采用,但是O型圈密封是不可能达到零泄漏率的。对于一般密封,在O
型圈的使用寿命之内,其泄漏率是可以忽略的;但是对寿命很长、而泄漏率要求很低的空间密封,O
型圈的泄漏率是不能忽略的,它是密封装置设计的一个重要参数。空间密封是从一个大气压到真空的密封,属于低压差密封,低压差密封中,压力对密封的辅助作用是很有限的,密封主要靠O型圈的初始压缩载荷来保证,而O
型圈的压缩率、O型圈的工作温度等对泄漏率的影响都是空间密封需要研究的因素。
美国“挑战者”号航天飞机失事的原因就是其固体火箭发动机的密封O型圈在其两个密封面发生变形时密封失效,之后美国国家航空与宇宙航行局对其进行了大量研究,并对发动机壳体接头O
型圈密封系统进行 了改进,使其O 型圈在两个密封面发生两倍最大可能变形时都能达到密封要求。R od r i g ue z
等对O型圈在空间环境下的泄漏率和泄漏率模型进行了研究;Lemon 等研究了在多道O型圈密封情况下估算O型圈泄漏率的方法;T
rout等则在一个用O型圈密封的空间站舱门模型上进行了泄漏率试验。本文则研究了低压密封中,O
型圈的压缩率、温度、O型圈的载荷衰减、原子氧辐射等对O型圈泄漏率的影响。
2、泄漏率试验原理
泄漏率的测量方法有两种,一种是用氦质量检测仪直接测量气体的泄漏,另一种是通过测量压力的变化计算泄漏率,本文采用后一种方法。图1为密封压差为
0.1 M P a ( 一侧为0.1 M P a、一侧为真空)、采用 2 道 O 型圈密封情况下测量 O
型圈泄漏率的实验原理当中间密封腔抽真空时,2 道O 型圈所包围的体积V l 内的气体通过O 型圈1 向真空腔内泄漏,其压
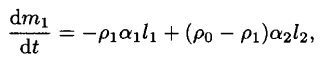
力 p l下降,而周围环境内的气体则向 V l 内泄漏,但是环境压力 p0保持不变,则 V l 内气体的质量变化率为

式中,m l,σ为 V l 内气体的质量和密度; σ0为环境气体的密度;l1、l2为O 型圈1和O型圈2 的长度; α1,α2为
O型圈 1 和 O 型圈 2 的泄漏率。

图1 泄漏率试验原理图
式(1)两边同除以V1得:

假设泄漏过程在热力学上是等温过程,则气体的压力正比于其密度,于是用压力代替密度得:

式 (3 ) 中环境压力 p0 可以直接测量;体积
Vl无法直接测量,为此先把它抽到一定的真空度并密封,然后与一个已知体积和真空度的容器里的气体相混合(两体积内的真空度不同),由混合后气体的压力就可以计算出体积
V l 值。在试验中当两道O 型圈之间压力达到平衡时,就可以计算出两道O
型圈泄漏率的比值,即α1、α2之间的比例关系,这样根据任意两个不同时刻的压力就可以通过式 (3 )计算出两道O
型圈的泄漏率α1、α2。
3、试验装置
泄漏率试验装置如图2所示,它由真空系统、制冷系统、真空罐、计算机数据采集系统、压力传感器、温度传感器、试验件等组成。其中,试验件所用两块平板是厚度为15mm的铝板,第1块铝板的截面直径为214mm,第二块铝板的截面直径为252mm,上面开有按标准设计的放置试验用O型圈的矩形密封槽,与第一块铝板组合在一起形成O型圈原理性泄漏率试验的试验件。另外,他还与一个铝质底座形成与大气相通高压腔(一个大气压);而此铝板的中心还有一通孔,其作用是使两块铝板的中间密封腔与真空罐相通。试验时,对真空罐不断抽真空,高压腔的空气就会通过实验O型圈和铝板中间的孔向真空罐泄漏,由于高压腔与大气相通,其压力保持不变,用压力传感器测量两道O型圈之间气体压力的变化,并由计算机记录和处理就可以计算出两道O型圈的泄漏率,此设备可以进行高温、常温和低温O型圈泄漏率实验,实验用O型圈的截面直径都是7mm,O型圈的外径分别为3种规格:104mm、146mm、184mm,O型圈所用材料为航天总公司第42研究所研制的硅橡胶863~3。

图2 泄漏率实验装置
4、实验结果和讨论
空间密封O型圈的压缩率比常规密封大得多,所以实验主要对O型圈在30%和40%压缩率不同温度下的泄漏率进行了研究;考虑到O型圈在空间密封中可能长期处于高温压缩状态,所以实验对O型圈在经过长期高温载荷衰减之后的泄漏率进行了研究;另外,考虑到空间环境中存在原子氧,所以实验还对O型圈经过原子氧辐射之后的泄漏率进行了研究。实验结果见表1。
从表1可以看出,O型圈的压缩率和实验温度对O型圈的泄漏率都有很大影响,且O型圈的高温载荷衰减和原子氧辐射都使O型圈的泄漏率有所增加。

图3 常温下O型圈的压缩率与泄漏率关系的实验曲线
O型圈的压缩率和试验温度对O型圈的泄漏率都有很大影响,且O型圈的高温载荷衰减和原子氧辐射都使O型圈的泄漏率有所增加。
4.1压缩率对O型圈泄漏率的影响
在常温下,O型圈104X7的压缩率与泄漏率的关系如图3所示,从图中可以看出,O型圈泄漏率的变化速度越小。当压缩率为0时,O型圈起不到密封作用,泄漏率为无穷大;而压缩率不可能达到100%,O型圈的密封也不可能达到零泄漏率。
空间密封为了获得尽可能小的泄漏率都采用打压缩略率密封,而从图3可以看出,当O型圈的压缩率达到40%时,压缩率对O型圈泄漏率的影响已不明显,但O型圈压缩率的增加势必导致密封法兰边刚度和重量的增加,所以空间密封采用30%—50%的压缩率是比较合适的。
4.2 温度对O型圈泄漏率的影响
温度试验主要是在40%压缩率下进行的,考虑到空间密封可能处于高低温度的循环之下(在太阳照射下温度升高,处于地球的阴影中时温度降低),温度对泄漏率的影响实验也完成了一个温度循环,即从常温到高温,再从高温到常温,再到低温,最后又回到常温,而整个实验过程O型圈都不重新装配。这样不仅研究了泄漏率与温度的关系,而且研究了高低温对O型圈的后效性影响。从表1中可以看出,子啊相同温度条件下,经历高低温前后O型圈的泄漏率相差不大,这说明100℃高温和—5℃低温范围内的温度循环对O型圈密封性能的重复性影响不大。

图 4 O型圈的泄漏率与温度关系的实验曲线
图4为O型圈 104X7
的泄漏率与实验温度间的关系曲线。从图中可以看出,从常温开始,在所实验的温度范围内,O型圈的泄漏率随温度的升高而线性增大,随温度的降低而减小,但变化率越来越小。O型圈在低温下的泄漏率比常温下小,这说明此硅橡胶材料的低温性能比较好。但是,随着温度的降低,橡胶材料会变得越来越脆,并最终导致密封失效。由此可知,橡胶O
型圈密封存在一个最低温度,由于条件的限制,实验没有达到所用硅橡胶材料的最低密封温度。
. 4.3 载荷衰减和原子氧辐射对O型圈泄漏率的影响
表1中实验 19、21 和 23 所用 O 型圈全部是新的 O 型圈,而实验 20、22、24所用O 型圈分别与实验
19、21、23 相同,但它们分别经过285h、427h、1470 h 相应压缩率的常温载荷衰减。从表中可以看出,在压缩率大于26 %
时,常温载荷衰减对O型圈的泄漏率的影响很小,而压缩率为19 % 时,O型圈经过 285
h的常温载荷,其泄漏率有所增加,但增量不超过10 %,而实验8 所用O型圈 10 4 x 7 经过940 h、10 0
℃高温的载荷衰减后在3 0 % 压缩率下的泄漏率增加了 9.3% ,这说明高温载荷衰减对O
型圈泄漏率的影响比常温载荷衰减大,同时也说明硅橡胶 863一3 材料的O 型圈,当其压缩率大于3 0% 时,1 0
0℃高温的载荷衰减对其泄漏率影响不大。
表l中实验6 所用O型圈在进行泄漏率实验之前经过了原子氧辐射,原子氧辐射时间和原子氧辐射前后O 型圈的质量和泄漏率变化情况见表
2。从表 2 可以看出,O
型圈经过原子氧辐射之后质量减小、泄漏率增加,而泄漏率的增量大于高温载荷衰减导致的泄漏率增加量。由此可知,原子氧辐射对O型圈泄漏率的影响是比较大的,所以空间密封应尽量减小原子氧对O
型圈的辐射。

表2 O型圈经过原子氧辐射前后性能比较
图5
为新的O型圈、经过高温载荷衰减的O型圈和经过原子氧辐射的O型圈进行泄漏率实验时两道O型圈之间压力变化曲线比较,由于它们的实验温度相同,两道O型圈之间的体积相等,所以压力变化速度反映了它们相对泄漏率的大小。从图中可以看出,经历原子氧辐射的O型圈,其压力变化最快,也说明了其泄漏率最大,经历高温载荷衰减的O
型圈的压力变化曲线则位于新的O型圈与经历原子氧辐射的O型圈之间。

图 5 不同实验条件下两道O形圈间的压力变化曲线
5、结论
从以上对实验结果的分析可以得出以下结论:
( l ) 在所实验的压缩率范围内 ( 1 9 %一4 0 %
),O型圈的泄漏率随其压缩率的增加而减小,从O型圈的压缩率对泄漏率的影响角度考虑,空间密封采用 3 0 %一5 0 %
的压缩率比较合适。
(2 ) 在所实验的温度范围内 (一5一l 0 0℃ ),O
型圈的泄漏率随温度的增加而增加,在此温度范围内的温度循环对O型圈的后效性影响不大。
(3) 当压缩率大于26%时,O型圈在常温下的载荷衰减对其泄漏率影响很小,而在100℃高温下的载荷衰减使泄漏率有所增加,增量小于1
0 % ;当压缩率小于1 9 % 时,常温下的载荷衰减对O 型圈的泄漏率有一定影响,但增量也不超过1 0 %。
(4 ) 原子氧辐射使O型圈质量减小、泄漏率增加,而对泄漏率的影响大于 100℃高温载荷衰减的影响。
更多奥赛罗
液压密封件知识欢迎访问
奥赛罗密封材料网站,奥赛罗长期
诚招密封件代理商,欢迎各地有志之士的加入!