相信大家都听说过,螺栓拧紧过程中仅有10%的扭矩转化为夹紧力,还有一个比较流行的说法叫‘541’规则,即螺栓拧紧过程中有50%的扭矩用于克服螺栓头或螺母下的摩擦力,而40%的扭矩需要克服螺纹副中的摩擦力,而实际转化为螺栓夹紧力的扭矩只占到了占10%,这是真的吗?今天小编和你一起用分析的方法一步一步解开这个迷。
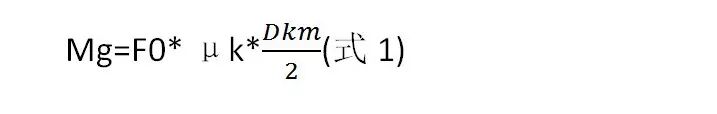
拧紧过程中,一部分扭矩要克服螺母与被连接件之间的摩擦力,一部分要克服螺纹间的摩擦力,一部分用来转化为螺栓的预紧力。

图1.螺栓拧紧
F0=螺栓预紧力
P=螺距
拧紧过程中,一部分扭矩要克服螺母与被连接件之间的摩擦力,一部分要克服螺纹间的摩擦力,一部分用来转化为螺栓的预紧力。
图1.螺栓拧紧
F0=螺栓预紧力
P=螺距
