新浪博客

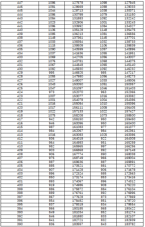
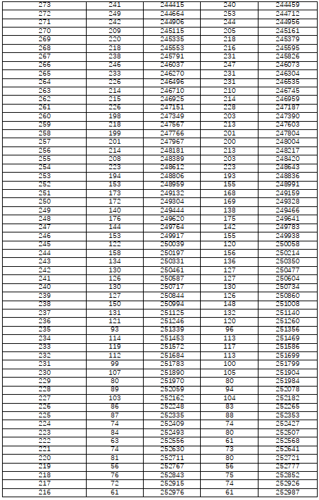
湖南省2022年普通高考档分1分段统计表

2022-06-30 15:38阅读:

http://blog.sina.cn/dpool/blog/u/1629423820

 湖南省2022年普通高考档分1分段统计表(历史科目组合)










  湖南省2022年普通高考档分1分段统计表(物理科目组合)










举报/Report

分享

  • 我的博客
  • 微博
  • 微信
  • 朋友圈
N
同时转发到微博
发送

我的更多文章

下载客户端阅读体验更佳

APP专享
  • 湖南2022高考分数线:历史类本科451分物理类本科414分
  • 内蒙古2019高考分数线:一本理477文522
  • 云南2019高考分数线:一本理535文560
  • 云南2020高考分数线:一本文史555理工535
  • 云南2021高考分数线:本科一批线理工520文史565
  • 云南2022高考分数段:理科700以上55人文科680以上51人
  • 云南2022年高考分数线:本科一批线文史575理工515
  • 广西2019高考分数线:一本理509文521
  • 广西2020高考分数线:本科文史500理工496
打 开

疯狂捕鱼

海底宝藏等你探寻!