凝聚态物理中的拓扑基础二--不考虑自旋时的时间反演对称作者:张迎涛(河北师范大学)
2019-05-20 08:19阅读:
凝聚态物理中的拓扑基础二 -- 不考虑自旋时的时间反演对称
作者:张迎涛 (河北师范大学)
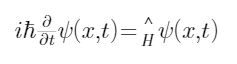
所谓的时间反演对称乃是指运动的可逆性,即把一个过程用摄像机拍下来,然后把胶卷倒过来放映,假如看上去运动规律(当然不是指“现象”)与顺放时一样,就叫做“时间反演守恒”。我们可以先从经典力学讲起时间反演对称,我们知道经典力学的基本运动定律是牛顿第二定律,即:
如果我们令
,那么
作者:张迎涛 (河北师范大学)
所谓的时间反演对称乃是指运动的可逆性,即把一个过程用摄像机拍下来,然后把胶卷倒过来放映,假如看上去运动规律(当然不是指“现象”)与顺放时一样,就叫做“时间反演守恒”。我们可以先从经典力学讲起时间反演对称,我们知道经典力学的基本运动定律是牛顿第二定律,即:
如果我们令

















