新浪博客

污水处理中初沉池的工艺描述、设计要点及计算

2019-11-23 10:42阅读:
更多关注公号:环保水处理(hbscl01)


沉淀处理的目的是去除易沉淀的固体和悬浮物质,从而降低悬浮固体的含量。初次沉淀池可去除50%~70%的悬浮物和25%~40%的BOD。初沉池按水流方式分为平流式、竖流式和辅流式,每种沉淀池均包含5个区,即进水区、沉淀区、缓冲区、污泥区和出水区。 污水处理中初沉池的工艺描述、设计要点及计算1、平流式沉淀池工艺描述、设计要点及计算1.1 工艺描述平流式沉淀池为矩形,具有沉淀效果好,对冲击负荷和温度变化的适应能力较强,施工简易、平面布置紧凑、排泥设备已趋定型等优点。同时,也有配水不易均匀和采用多斗排泥时
每个泥斗须单独设排泥管、排泥操作量大、采用机械排泥时设备复杂、对施工质量要求高等不足。平流式沉淀池适用大、中、小型污水处理厂。1.2 设计要点设计时池子长度与宽度之比不应小于4,长度与有效水深的比值不小于8,沉淀池一般采用机械刮泥,刮泥机的行走速度为0.6~0.9m/min。沉淀时间1~2h,表面水力负荷为1.5~3.0m³/(.h),并按水平流速校核。池内最大水平流速为7mm/s;污泥区容积不宜大于2d的排泥量;排泥管直径不应小于20mm;一般生活污水负荷每人每日污泥量为10~25g,污泥含水率按95%~97%计;另外出水堰的最大负荷不宜大于2.9L/(m.s),以保证沉淀效率。1.3 计算公式(1)池子总表面积 污水处理中初沉池的工艺描述、设计要点及计算
式中,Q为日平均流量,m³/s;q’为表面负荷,m³/(.h)。(2)池长 污水处理中初沉池的工艺描述、设计要点及计算
式中,v为水平流速,mm/s;t为沉淀时间,h。(3)池子总长度 污水处理中初沉池的工艺描述、设计要点及计算
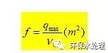
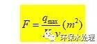
2、竖流式沉淀池工艺描述、设计要点及计算2.1 工艺描述竖流式沉淀池具有排泥方便,管理简单,占地面积较小等优点。但若池子深度大,则会造成施工困难、对冲击负荷和温度变化的适应能力较差等问题,所以池径不宜过大,否则产生布水不匀。一般适用于小型污水处理厂。2.2 设计要点竖流式沉淀池直径与有效水深的比值应不大于3.0,池直径不宜大于8m,目前最大的有达10m,中心管内流速应不大于30mm/s,中心管下口应设喇叭口及反射板,板底面距泥斗内泥面不小于0.3m,运行时利用水位差进行定期排泥,排泥管下端距池底不大于0.2m,管上端超出睡眠不小于0.4m。2.3 计算公式(1)中心管面积 污水处理中初沉池的工艺描述、设计要点及计算
式中,qmax为每池最大设计流量,m³/s;vo为中心管内流速。(2)沉淀部分有效断面积 污水处理中初沉池的工艺描述、设计要点及计算
式中,Kz为生活污水流量总变化系数;v为污水在沉淀池中的流速,m/s。(3)沉淀池直径 污水处理中初沉池的工艺描述、设计要点及计算
3、辅流式沉淀池工艺描述、设计要点及计算3.1 工艺描述辅流式沉淀池多为机械排泥,运行可靠,管理较简单;排泥设备已定型化。但机械排泥设备复杂,对施工质量要求高。适用大、中型污水处理厂。3.2 设计要点辅流式沉淀池通常采用周边进水、周边出水的形式,目前也有较少采用周边进水、中心出水的形式。池子直径与有效水深的比值宜为6~12,刮泥机的刮泥板其外缘的线速度不宜大于3m/min。3.3 计算公式(1)沉淀部分水面面积 污水处理中初沉池的工艺描述、设计要点及计算
式中,Q为日平均流量,m³/S;q’为表面负荷,m³/(.h);n为池数,个。(2)池子直径 污水处理中初沉池的工艺描述、设计要点及计算

我的更多文章

下载客户端阅读体验更佳

APP专享