新浪博客

爱神维纳斯与黄金分割—2019年高考数学全国1卷第(4)题解析

2019-07-11 20:31阅读:
爱神维纳斯与黄金分割
—2019年高考数学全国1卷第(4)题解析
雪夫
古代数学家对“黄金分割”的研究,有着悠久的历史,早在元前6世纪古希腊的毕达哥拉斯学派通过研究正五边形的尺规
图,已经接触了黄金分割。公元前4世纪,古希腊数学家欧多克索斯又深入研究了“黄金分割”问题。后来,公元前3世纪末期,大数学家欧几里得在其名著《几何原本》中介绍了欧多克索斯的研究成果,进一步系统论述了黄金分割,成为最早的有关黄金分割数学典籍
关于“黄金分割”的基本内容,简述如下:一个点将一条线段a分为两条线段,分别记作a1 a2 a1a2,如果a1a2=a2a,则这个分点叫作线段a“黄金分割点”,比值a1/a2(或a2/a)叫作“黄金分割数”,用希腊字母φ来表示,φ的读音为汉语拼音fài
φ的计算方法如下:设a1长度为xa2长度为1,则a的长度为x+1,根据题意可得方程为:
x / 1=1 /x+1),则x(x+1)=1,即x²+x-1=0,解得x = -1±√5/ 2,舍去负根得 x =(√5-1/ 2
a1=(√5-1/ 2a2=1a = x+1=(√5-1/ 2+1=(√5+1/ 2
φ = a1 / a2 =(√5-1/ 2 0·618
应当指出,a1a是互为倒数的:
5-1/ 2×(√5+1/ 2 = 1
a = 1/a1 = 1/φ = φ-1
这样,三线段a1a2a之比就变得十分简单易记:
a1a2a = φ1φ-1
φ 是一个无理数,即无限不循环小数,它的前10个有效数字为:φ = 0.6180339887……
  这样,构成一个黄金分割的三线段之比可列表如下:
爱神维纳斯与黄金分割—2019年高考数学全国1卷第(4)题解析
三线段之比十分重要,是“黄金分割”计算的基础,必须记得滚瓜烂熟。任意给定一线段的值,利用三线之比可以很快求出另外二线段的值。

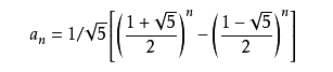
说到“黄金分割”,我们不能不提到一个神奇的数列—斐波那契数列。这个数列是意大利数学家斐波那契(1170-1250在研究兔子繁殖问题时发现的。数列的构造方法是,数列头两项均为1,从第三项起,每项都是前两项的和:
1, 1, 2, 3, 5, 8, 13, 21, 34, 55, 89, 144, 233377610987159725844181676510946177112865746368……
数列的递推公式是:
a1=1a2=1an=an-1+an-2n3)。
数列的通项公式为:
爱神维纳斯与黄金分割—2019年高考数学全国1卷第(4)题解析
通项公式用三个无理数来表达一个正整数,令人赞叹不已,显示出数学家的超人才华和数学之美。
斐波那契数列的神奇之处,就在于数列中前后两数之比的极限,就是黄金分割数φ=(√5-1/2 因此,计算黄金分割数最简单的方法,是计算斐波那契数列前后两数之比,将其作为 φ 的近似值,相邻两数越大,精确度越高。例如,将2/33/55/8作为φ的近似值,只能精确到0·1;而a21a22两项相除得10946/177110·61803399,它的精确度已经达到小数点之后的第8位。斐波那契还首先研究了人体上的黄金分割点。例如肚脐到脚底的长度与身高之比恰好为黄金分割数φ,后来他还发现另外三个人体的黄金分割点。

下面,我们开始研究2019高考数学“维纳斯”一题的解法。
高考原题
古希腊时期,人们认为最美人体的头顶至肚脐的长度与肚脐至足底的长度之比是
5-1/2 5-1

我的更多文章

下载客户端阅读体验更佳

APP专享